شكرا لقرائتكم خبر عن الخلاصة.. أقوى 10 أسئلة فى الإحصاء بإجاباتها للثانوية العامة والان مع تفاصيل الخبر
القاهرة - سامية سيد - كتبت بتول عصام
الأربعاء، 09 يوليو 2025 01:23 ميؤدي طلاب وطالبات الثانوية العامة، امتحان مادة الإحصاء للشعبة الأدبي، إذ يبحث الطلاب عن أسئلة استرشادية، تساعدهم على الإلمام بأهم أجزاء المنهج والتدريب على أسئلة امتحان نهاية العام الدراسي، الذي يعقد غدًا الخميس 10 يوليو 2025.
وتسهيلًا على الطلاب، يقدم ”الخليج 365” في السطور التالية مراجعة شاملة لمنهج مادة الأحصاء، تتضمن أسئلة استرشادية للامتحان بنظام (الاختيار من متعدد)، حيث يتضمن امتحان نهاية العام الدراسي 35 سؤالًا، منها 2 سؤال مقالي و33 اختيار من متعدد، بإجمالي 60 درجة، 56 درجة للاختيار من متعدد و4 درجات للأسئلة المقالية.

السؤال الأول

السؤال الثاني

السؤال الثالث

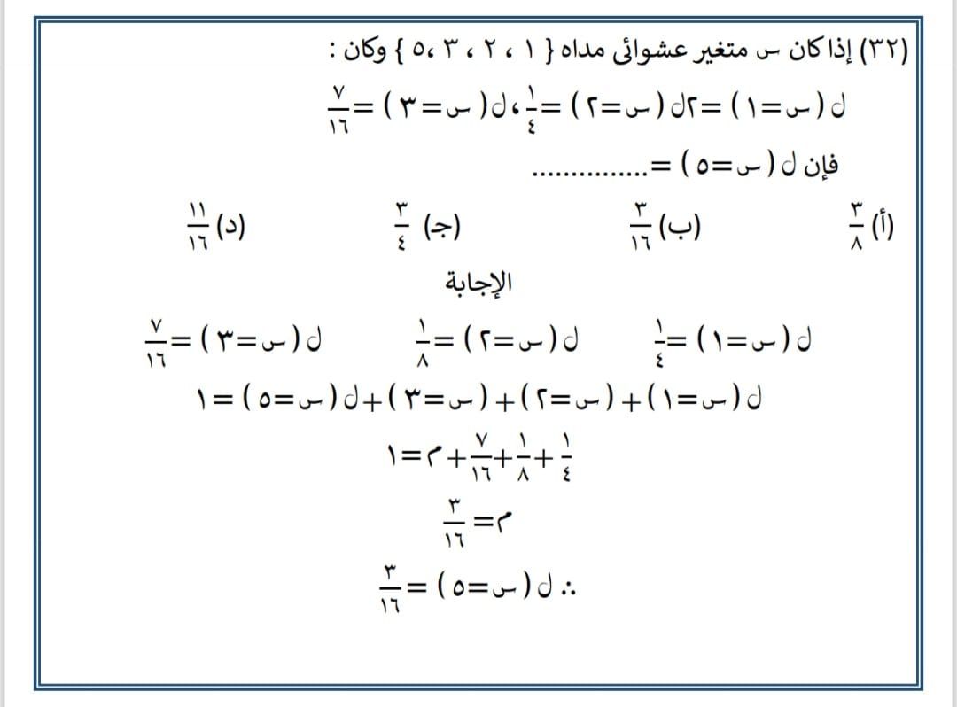
السؤال الرابع

السؤال الخامس

السؤال السادس

السؤال السابع

السؤال الثامن

السؤال التاسع

السؤال العاشر
لمزيد من المراجعات النهائية.. ادخل على بوابة الثانوية العامة
يأتي ذلك ضمن المراجعات النهائية، التي يقدمها ”الخليج 365” لطلاب الثانوية العامة في المواد الدراسية، وذلك بالاستعانة بمجموعة من كبار الخبراء ومعلمي المواد في وزارة التربية والتعليم؛ لمساعدة الطلاب على الإلمام بالمناهج الدراسية والتدريب على شكل أسئلة الامتحانات.
وكانت قد أكدت وزارة التربية والتعليم، أن الامتحانات تشمل توزيعًا دقيقًا لعدد الأسئلة وطبيعتها في كل مادة، بما يحقق التوازن في قياس المهارات المختلفة لدى الطلاب من تحليل وفهم وتطبيق واستيعاب، مشيرة إلى أن الدرجات موزعة على جزئيات الامتحان وهناك أسئلة بدرجة وأسئلة أخرى بدرجتين.
يمكنكم متابعة أخبار مصر و العالم من موقعنا عبر جوجل نيوز
