شكرا لقرائتكم خبر عن مراجعة الجبر للثانوية العامة.. نماذج بإجابات نموذجية مش هتخرج عنها الأسئلة! والان مع تفاصيل الخبر
القاهرة - سامية سيد - محمد عبد الرحمن
الأربعاء، 21 مايو 2025 04:15 مفي إطار حرصه على دعم طلاب الثانوية العامة في اللحظات الأخيرة قبل الامتحانات، يواصل موقع ”الخليج 365” تقديم مراجعات نهائية شاملة ومركزة، وهذه المرة مع مادة الجبر، إحدى أهم مواد شعبة علمي رياضة، والتي يؤدّي الطلاب امتحانها خلال الأسابيع المقبلة من جدول امتحانات الثانوية العامة 2025.
وتُعد هذه المراجعة من الأدوات الفعّالة التي تمكّن الطلاب من استيعاب المفاهيم الأساسية والتدرب على شكل الأسئلة المتوقع في الامتحان، خاصة أن المنهج يعتمد على الفهم وربط العلاقات الرياضية، وليس الحفظ فقط.
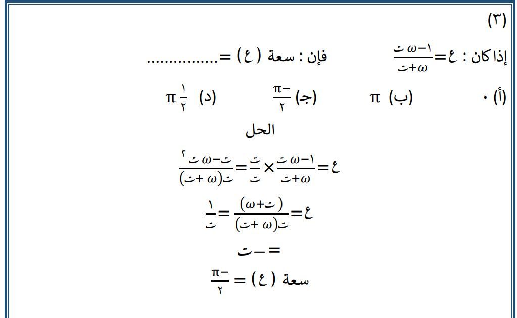
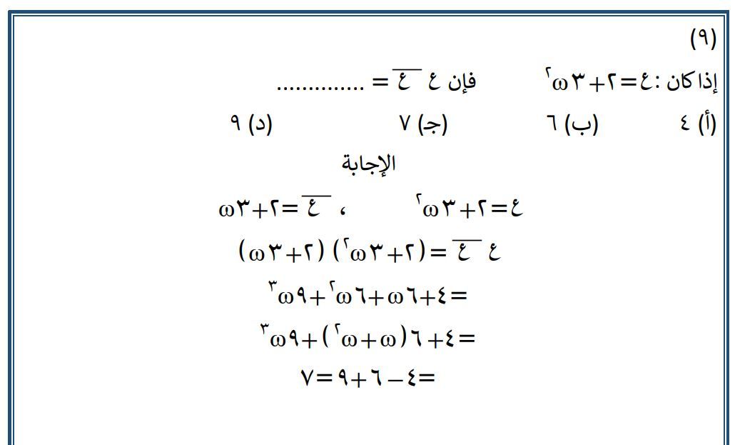
مراجعة مادة الجبر للثانوية العامة
مراجعة مادة الجبر للثانوية العامة
مراجعة مادة الجبر للثانوية العامة

مراجعة مادة الجبر للثانوية العامة
مراجعة مادة الجبر للثانوية العامةللمزيد من النماذج والمراجعات الكاملة.. زوروا بوابة الثانوية العامة
ومن جانبها، أكدت وزارة التربية والتعليم والتعليم الفني أن امتحان الجبر للثانوية العامة هذا العام سيكون مطابقًا للمواصفات التي تضمن قياس نواتج التعلم بشكل حقيقي، ويراعي مستويات الطلاب المختلفة من خلال التدرج في صعوبة الأسئلة، على أن يكون الامتحان بالكامل من داخل المنهج المُقرر على طلاب الصف الثالث الثانوي.
امتحانات الثانوية العامة، مراجعة مواد الثانوية العامة، بوابة الثانوية العامة 2025، امتحانات الثانوية العامة 2025، بوابة امتحانات الثانوية العامة، المراجعة النهائية لمواد الثانوية العامة، مادة الجبر، مراجعة مادة الجبر، مراجعة الجبر للثانوية العامة، امتحان الجبر للثانوية العامة،
يمكنكم متابعة أخبار مصر و العالم من موقعنا عبر جوجل نيوز
