شكرا لقرائتكم خبر عن مراجعة شاملة للتفاضل والتكامل.. نماذج لن يخرج عنها امتحان الثانوية العامة والان مع تفاصيل الخبر
القاهرة - سامية سيد - محمد عبد الرحمن
الأربعاء، 21 مايو 2025 05:52 ممع اقتراب موعد امتحانات الثانوية العامة، وتحديدًا اختبار التفاضل والتكامل لطلاب شعبة علمي رياضة، يقدّم موقع ”الخليج 365” مراجعة نهائية متكاملة تُمكّن الطلاب من الاستعداد الأمثل خلال الأيام الحاسمة، من خلال تدريبات دقيقة، وأسئلة متنوعة تحاكي النمط الرسمي للامتحان، إلى جانب نماذج محلولة بإجابات نموذجية مشروحة بأسلوب مبسط وواضح.
ويُعد التفاضل والتكامل من المواد الأساسية التي تعتمد على الفهم العميق للمفاهيم الرياضية، وتطبيقها في سياقات متعددة، خاصة في موضوعات مثل النهايات، المشتقات، القيم العظمى والصغرى، التغيرات، وحساب المساحات والتكاملات، وهي موضوعات تحتاج إلى ممارسة منظمة وتدريب متواصل لفهم طرق الحل المختلفة والتعامل مع كل نوع من المسائل بثقة.
وتتضمن المراجعة النهائية: شرحًا مركزًا لجميع دروس المنهج في شكل تدريبات وأسئلة منظمة، نماذج امتحانات تحاكي ورقة الامتحان الرسمية لتدريب الطلاب على التعامل مع الزمن المحدد ونوعية الأسئلة المتوقعة، وإجابات تفصيلية لكل سؤال، موضحة بخطوات الحل كاملة، تساعد الطالب على إدراك الطريقة المثلى للتفكير ومعالجة المسائل، ملخص شامل لأهم القوانين والنقاط المحورية التي ينبغي مراجعتها قبل دخول اللجنة.

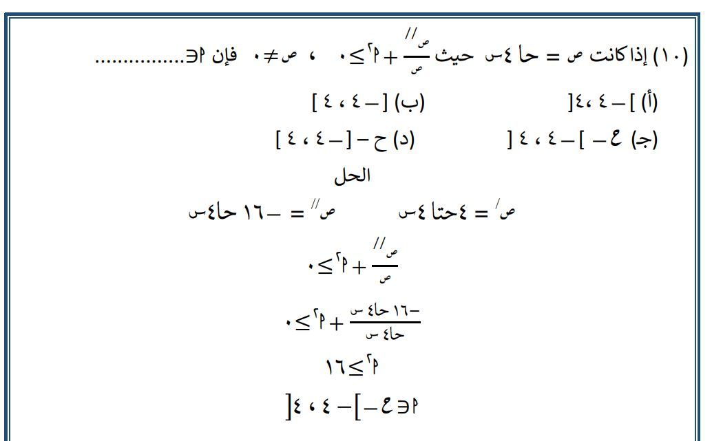
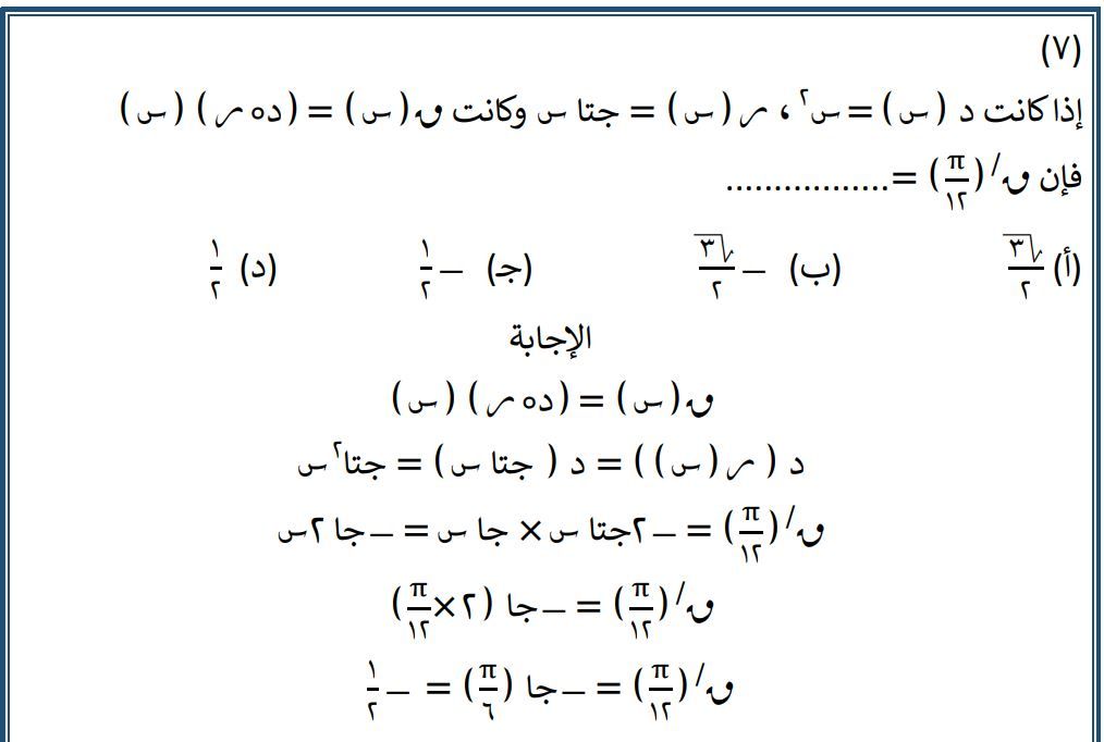
مراجعة شاملة للتفاضل والتكامل للثانوية العامة 2025

مراجعة شاملة للتفاضل والتكامل للثانوية العامة 2025

مراجعة شاملة للتفاضل والتكامل للثانوية العامة 2025

مراجعة شاملة للتفاضل والتكامل للثانوية العامة 2025

مراجعة شاملة للتفاضل والتكامل للثانوية العامة 2025

مراجعة شاملة للتفاضل والتكامل للثانوية العامة 2025

مراجعة شاملة للتفاضل والتكامل للثانوية العامة 2025

مراجعة شاملة للتفاضل والتكامل للثانوية العامة 2025
للاطلاع على باقي المراجعات النهائية والنماذج المقررة.. يمكنكم زيارة بوابة الثانوية العامة
من جانبها، أكدت وزارة التربية والتعليم والتعليم الفني أن امتحان التفاضل والتكامل للعام الدراسي 2024-2025 سيأتي بالكامل من محتوى المنهج المقرر، مع التزام تام بمواصفات الورقة الامتحانية المعتمدة، والتي تراعي تنوع مستويات الأسئلة بما يتيح الفرصة لجميع الطلاب لإبراز مستوى تحصيلهم وفهمهم العلمي بدقة.
امتحانات الثانوية العامة، مراجعة مواد الثانوية العامة، بوابة الثانوية العامة 2025، امتحانات الثانوية العامة 2025، بوابة امتحانات الثانوية العامة، المراجعة النهائية لمواد الثانوية العامة، مادة التفاضل والتكامل، مراجعة مادة التفاضل والتكامل، مراجعة التفاضل والتكامل للثانوية العامة، امتحان التفاضل والتكامل للثانوية العامة،
يمكنكم متابعة أخبار مصر و العالم من موقعنا عبر جوجل نيوز
