شكرا لقرائتكم خبر عن الخلاصة فى الجبر لطلاب الثانوية العامة.. أقوى أسئلة الامتحانات وإجاباتها والان مع تفاصيل الخبر
القاهرة - سامية سيد - كتبت - مرام محمد
السبت، 05 يوليو 2025 03:30 صيبحث طلاب وطالبات الثانوية العامة بشعبة علمي رياضيات بالثانوية العامة، عن نماذج استرشادية لامتحان مادة الرياضيات البحتة (الجبر والهندسة الفراغية)، للإلمام بأهم الأفكار والتدريب على أسئلة الامتحانات وخطوات الحل النموذجية.
وتسهيلًا على الطلاب، يقدم ”الخليج 365” في السطور التالية عددًا من الأسئلة الاسترشادية لامتحان مادة الرياضيات البحتة، وإجاباتها، وذلك ضمن المراجعات النهائية، التي يتيحها في المواد الدراسية بالاستعانة بمجموعة من كبار الخبراء ومعلمي المواد في وزارة التربية والتعليم؛ لمساعدة الطلاب على الإلمام بالمناهم الدراسية والتدريب على شكل أسئلة الامتحانات.
لمزيد من المراجعات النهائية.. ادخل على بوابة الثانوية العامة
وتعتمد امتحانات الثانوية العامة 2025 لطلاب الصف الثالث الثانوى العام في النظام الجديد على امتحانين فقط، أحدهم في الرياضيات البحتة وأخر في الرياضيات التطبيقية، بواقع 40 سؤالا في المادتين على عكس طلبة النظام القديم، حيث يؤدى الطلاب 4 امتحانات في 4 فروع وتشمل "الجبر والهندسة الفراغية والتفاضل والتكامل والاستاتيكا والديناميكا".
وأكدت الوزارة على أن مدة امتحان كل مادة لطلبة النظام الجديد ساعتين فقط وسوف تراعى الامتحانات المستويات المعرفة البسيطة والمتوسطة والعليا للطلاب حسب مواصفة الأسئلة التي أعدها المركز القومى للامتحانات والتقويم التربوى وزارة التربية والتعليم.
وأوضحت الوزارة عدد الأسئلة في كل مادة لطلاب النظامين القديم والجديد على النحو التالي:
-امتحان مادة الجبر والهندسة الفراغية (نظام قديم): يتكون الامتحان من 20 سؤالًا، منها 2 سؤال مقالي و18 اختيار من متعدد، وتبلغ الدرجة النهائية للمادة 30 درجة، 26 درجة للاختيار من متعدد و4 درجات للأسئلة المقالية.
-امتحان مادة التفاضل والتكامل (نظام قديم): يتضمن 20 سؤالًا، منها 2 سؤال مقالي و18 اختيار من متعدد، والدرجة النهائية للمادة 30 درجة، 26 درجة للاختيار من متعدد و4 درجات للأسئلة المقالية.
-امتحان مادة الاستاتيكا (نظام قديم): يتكون من 20 سؤالًا، تشمل 2 سؤال مقالي و18 اختيار من متعدد، ويبلغ إجمالي الدرجة 30 درجة، 26 درجة للاختيار من متعدد و4 درجات للأسئلة المقالية.
-امتحان مادة الديناميكا (نظام قديم): يتضمن 20 سؤالًا، بينها 2 سؤال مقالي و18 اختيار من متعدد، وتبلغ الدرجة النهائية 30 درجة، 26 درجة للاختيار من متعدد و4 درجات للأسئلة المقالية.
-امتحان مادة الرياضيات التطبيقية: يتضمن 20 سؤالًا، بينها 2 سؤال مقالي و18 اختيار من متعدد، وتبلغ الدرجة النهائية 30 درجة، 26 درجة للاختيار من متعدد و4 درجات للأسئلة المقالية.
-امتحان مادة الرياضيات البحتة: يتضمن 20 سؤالًا، بينها 2 سؤال مقالي و18 اختيار من متعدد، وتبلغ الدرجة النهائية 30 درجة، 26 درجة للاختيار من متعدد و4 درجات للأسئلة المقالية.

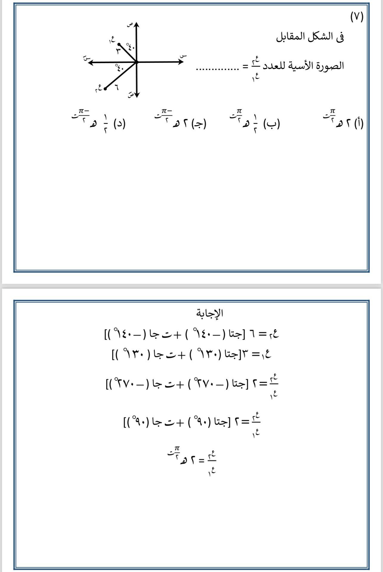
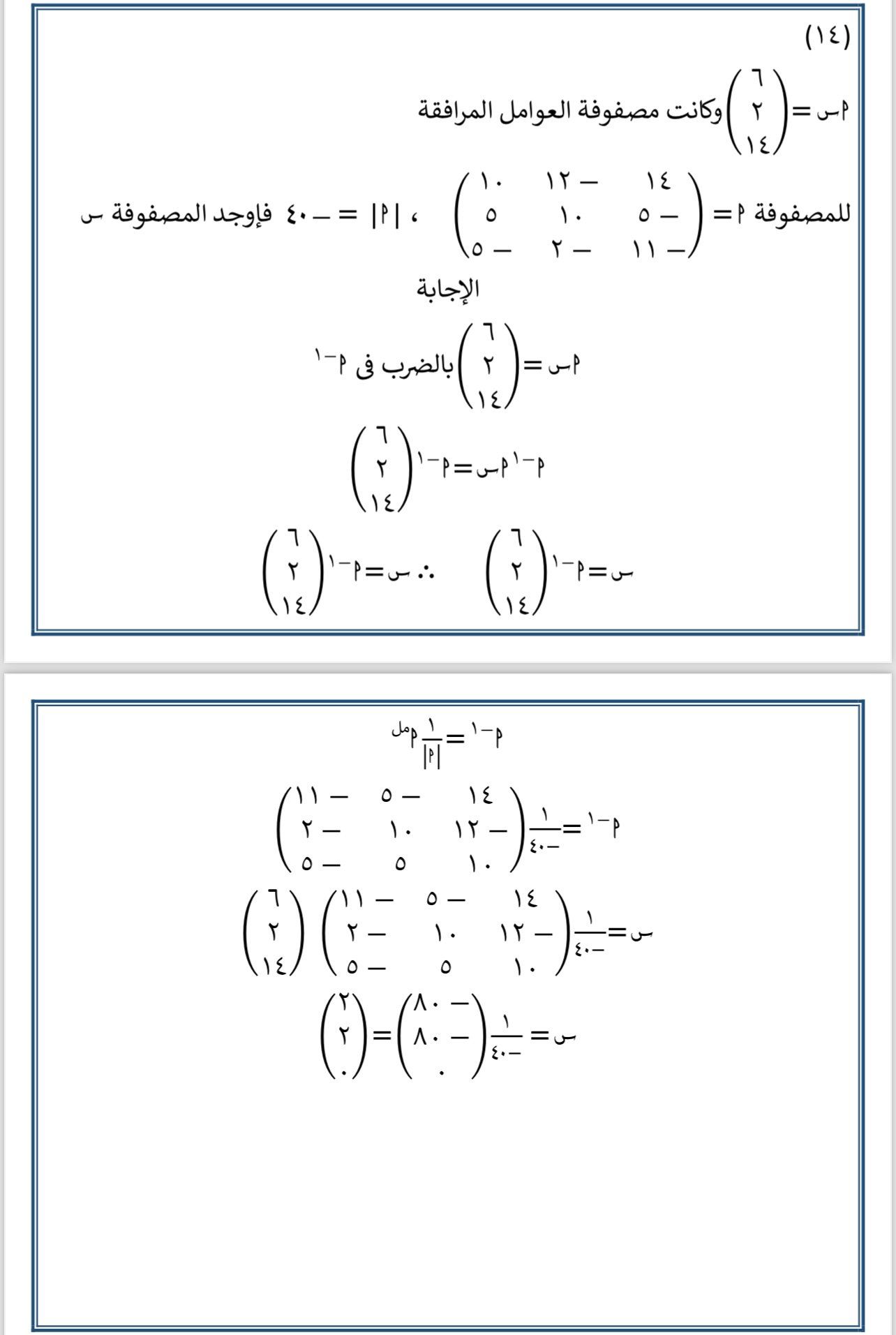
مراجعة مادة الجبر

مادة الجبر

أسئلة مادة الجبر

جانب من أسئلة مادة الجبر

أسئلة الجبر

مراجعة الجبر
يمكنكم متابعة أخبار مصر و العالم من موقعنا عبر جوجل نيوز
